Time to Positivity (TTP) in Tuberculosis Trials: Part 2

TB
Interactive App
visualization
Drug Development Tool
Author

Samer Mouksassi

Published

January 21, 2026

This is part 2 of last week blog post Time to Positivity (TTP) in Tuberculosis Trials: Part 1

I will continue covering the modeling and simulation activities that were performed in order to build the interactive tool. As reported earlier the app source code is publicly available at this github repo and is currently deployed online at this link take me to the online interactive app

The four parameters (Offset, α, ß and Y) Gompertz TTP model was fitted:

\[{\text{TTP}(t)=Offset +\alpha×\exp\left[-\beta×\exp\left(-\gamma×\text{Time}\right)\right]}\] The treatment regimen RHZE was the reference with effects of each regimen on each of the four parameters which resulted in the following curves:

Code
library(ggplot2)
library(patchwork)
library(dplyr)
library(tidyr)
require(ggrepel)
library(table1)
library(tidyvpc)

Thetatrt <-  read.csv("Thetatrt.csv")
Thetatrt$label<- ifelse(Thetatrt$TRT==1,"TMC207",NA)
Thetatrt$label<- ifelse(Thetatrt$TRT==2,"Placebo",Thetatrt$label)
Thetatrt$label<- ifelse(Thetatrt$TRT==5,"MICRONUTRIENT\nRHZE",Thetatrt$label)
Thetatrt$label<- ifelse(Thetatrt$TRT==6,"PA-824/PZ/M",Thetatrt$label)
Thetatrt$label<- ifelse(Thetatrt$TRT==7,"PHZE",Thetatrt$label)
Thetatrt$label<- ifelse(Thetatrt$TRT==17,"MRZE",Thetatrt$label)
Thetatrt$label<- ifelse(Thetatrt$TRT==3,"RHZE",Thetatrt$label)

gompertzModelPRED <- function(df=Thetatrt,time = seq(0,98,1),
                              TRTvalue=1) {
  dffilter <- df %>% 
    filter(TRT==TRTvalue)
  predictedPRED <-   dffilter$tvE0+dffilter$tvAlpha*exp(-dffilter$tvBeta*exp(-dffilter$tvGam*time))
  predicted <- data.frame(TRT=dffilter$TRT,label=dffilter$label,
                          TIME=time ,PRED=predictedPRED )
  predicted
}
gompertzModelPREDall <- rbind(gompertzModelPRED(TRTvalue = 1),
      gompertzModelPRED(TRTvalue = 2),
      gompertzModelPRED(TRTvalue = 3),
      gompertzModelPRED(TRTvalue = 5),
      gompertzModelPRED(TRTvalue = 6),
      gompertzModelPRED(TRTvalue = 7),
      gompertzModelPRED(TRTvalue = 17))


ggplot(gompertzModelPREDall,aes(TIME,PRED))+
  geom_line(aes(col=label,group=label),
            show.legend = FALSE,size=2,alpha=0.5)+
  geom_text_repel(data=gompertzModelPREDall[gompertzModelPREDall$TIME==max(gompertzModelPREDall$TIME),],
                  aes(label=label,col=label,x=TIME),
                  show.legend = FALSE,nudge_y = 0,size=4,
                  nudge_x = 7,direction="y",
                  xlim = c(100, Inf),
                  lineheight = 0.8,
                  hjust = 0,force_pull = 2,force=10)+
  theme_bw(base_size = 16)+
  ylab("Predicted TTP")+
  xlab("Days on Treatment")+
  coord_cartesian(clip="off",xlim=c(NA,98))+
  theme(plot.margin = unit(c(1,4,1,1),"cm"))+
  scale_x_continuous(breaks=c(0,14,28,42,56,70,84,98))+
  scale_y_continuous(breaks=c(0,7,14,21,28))

and associated parameters table:

Code
Thetatrt %>% 
  select(Regimen=label,
         Offset=tvE0,
         alpha=tvAlpha,
         beta=tvBeta,
         gamma=tvGam) %>% 
  mutate(Regimen= ifelse(Regimen=="MICRONUTRIENT\nRHZE","MICRONUTRIENT RHZE",Regimen))%>% 
  knitr::kable(col.names =
                 c("Regimen","Offset",
                   "$\\alpha$","$\\beta$","$\\gamma$"),
                escape = FALSE,
               digits = 2)
Regimen Offset \(\alpha\) \(\beta\) \(\gamma\)
RHZE 4.48 22.31 2.22 0.05
TMC207 5.30 15.99 2.78 0.09
Placebo 5.23 13.56 2.61 0.07
MICRONUTRIENT RHZE 4.98 16.57 2.57 0.12
PA-824/PZ/M 3.29 24.69 3.12 0.08
PHZE 4.82 20.81 2.33 0.07
MRZE 4.05 23.67 2.73 0.07


A more commonly used method to visualize parameter/covariate effects in pharmacometrics is expressing the effects as ratios with respect to a reference value, including the uncertainty of the estimated effects. Below I illustrate how we can read in the raw bootstrap results from the Phoenix NLME software that was used to fit this model. Next, we compute the 95% CI of the covariate effects and using coveffectsplot package function forest_plot doing these kind of graphics with an associated table has never been easier:

Code
rawboot<- read.csv("Rawout_csv.csv")

bootthetacov <- rawboot %>%
  select(tvE0:dBetadBLMEANTTP)%>%
  gather(Parameter,value)%>%
  group_by(Parameter)%>%
  summarize(  mid = quantile(value,0.5  ),
            lower = quantile(value,0.025),
            upper = quantile(value,0.975)) %>%
  filter(mid!=0)%>%
  filter( ! stringr::str_detect(Parameter, 'tv'))%>%
  filter( ! stringr::str_detect(Parameter, 'BLMEANTTP'))%>%
  mutate(mid=exp(mid),lower=exp(lower),upper=exp(upper))

bootthetaparam <- rawboot%>%
  select(tvE0:dBetadBLMEANTTP)%>%
  gather(Parameter,value)%>%
  group_by(Parameter)%>%
  summarize(mid= median(value),
            lower=quantile(value,0.025),
            upper= quantile(value,0.975))%>%
  filter(mid!=0)%>%
  filter(  stringr::str_detect(Parameter, 'tv'))%>%
  mutate(lower=lower/mid,upper=upper/mid,mid=mid/mid )


bootthetacov$Parameter<- as.character(bootthetacov$Parameter)
bootthetaparam$Parameter<- as.character(bootthetaparam$Parameter)
boottheta<- rbind(bootthetacov,bootthetaparam)
boottheta$paramname<- ifelse(grepl("E0",boottheta$Parameter),"Offset",NA)
boottheta$paramname<- ifelse(grepl("Alpha",boottheta$Parameter),"Alpha",boottheta$paramname)
boottheta$paramname<- ifelse(grepl("Beta",boottheta$Parameter),"Beta",boottheta$paramname)
boottheta$paramname<- ifelse(grepl("Gam",boottheta$Parameter),"Gamma",boottheta$paramname)
boottheta$covname<- "Treatment Arm"
boottheta$label<- ifelse(grepl("T1",boottheta$Parameter),"TMC207",NA)
boottheta$label<- ifelse(grepl("T2",boottheta$Parameter),"Placebo",boottheta$label)
boottheta$label<- ifelse(grepl("T5",boottheta$Parameter),"MICRONUTRIENT/RHZE",boottheta$label)
boottheta$label<- ifelse(grepl("T6",boottheta$Parameter),"PA-824/PZ/M",boottheta$label)
boottheta$label<- ifelse(grepl("T7",boottheta$Parameter),"PHZE",boottheta$label)
boottheta$label<- ifelse(grepl("T17",boottheta$Parameter),"MRZE",boottheta$label)
boottheta$label<- ifelse(grepl("T3",boottheta$Parameter),"RHZE",boottheta$label)
boottheta$label<- ifelse(is.na(boottheta$label),"RHZE",boottheta$label)

boottheta<- boottheta%>%
  select(label,mid,lower,upper,paramname,covname)

df <-boottheta
df$covname<-factor(df$covname)
df$label<-factor(df$label)
df$ref<- 1
df$exposurename<- df$paramname
sigdigits<- 2
summarydata<- df %>%
  group_by(paramname,covname,label) %>%
  mutate(
    MEANEXP = mid,
    LOWCI = lower,
    UPCI =  upper,
    MEANLABEL=signif_pad(MEANEXP,sigdigits),
    LOWCILABEL =signif_pad(LOWCI,sigdigits),
    UPCILABEL =signif_pad(UPCI,sigdigits),
    LABEL= paste0(MEANLABEL," [",LOWCILABEL,"-",UPCILABEL,"]")
  )

summarydata$label <- factor(boottheta$label,
                            levels=c("RHZE","TMC207","Placebo","PHZE","PA-824/PZ/M","MRZE",
                                     "MICRONUTRIENT/RHZE"
                            ),
                            labels=c("RHZE","TMC207","Placebo","PHZE","PA-824/PZ/M","MRZE",
                                     "MICRONUTRIENT\nRHZE")
)
summarydata$paramname <- factor(boottheta$paramname,
                                levels=c("Offset","Alpha","Beta","Gamma"
                                ))
summarydata$paramname <- factor(summarydata$paramname,
                                labels = c("Offset","alpha","beta","gamma"))
summarydata$covname<- "Treatment~Arm"
Code
forestplot<- coveffectsplot::forest_plot(summarydata,
                            table_position = "below",
                            plot_table_ratio = 1,
                            show_table_yaxis_tick_label = TRUE,
                            base_size = 10,
                            x_label_text_size = 10,
                            y_label_text_size = 10,
                            x_facet_text_size = 12,
                            y_facet_text_size = 12,
                            y_facet_text_angle = 90,
                            table_text_size = 4,
                            strip_placement = "inside",
                            facet_switch = "y",
                            combine_interval_shape_legend = TRUE,
                            interval_size = 1,
                            show_table_facet_strip = "both",
                            logxscale = TRUE,
                            x_range = c(0.5,2),
                            major_x_ticks = c(0.5,2/3,1,1.5,2),
                            major_x_labels = c("\n1/2","2/3","1","\n1.5","2"),
                            xlabel = "Ratio Change Relative to RHZE",
                            facet_labeller = "label_parsed",
                            strip_col = "#97B8FE", interval_col = "#17375E66",
                            interval_shape = "diamond"
)

Part of the goodness of fit of any model are the visual predictive check plots. I have written the foundation that led to the tidyvpc package to facilitate the computation of the needed statistics for the plotting and to provide data that can be easily used in ggplot2:

Code
library(tidyvpc)

originaldata <- read.csv("original_data.csv") %>% 
  select(ID,STUDID,ARM=ARM3,TIME,DV)
RESIDUALS    <- read.csv("Residuals_Final.csv") %>% 
  select(ID,TIME=IVAR,PRED,IPRED,DV)
originaldata <- left_join(originaldata,RESIDUALS)
simdata <- read.csv("PredCheckAll.csv")%>% 
select(ID,TIME=IVAR,DV,rep=Replicate)
originaldata$TIME <- as.double(originaldata$TIME)
vpcdatabase <- observed(originaldata, x = TIME, y = DV ) %>%
  simulated(simdata,y=DV) %>%
  predcorrect(pred=PRED) %>%
  stratify(~ STUDID+ARM) %>%
  binning(bin = "breaks", breaks = c(0,7,15,21,29,43,225),
          xbin = "xmid") %>%
  vpcstats()

p1 <- plot(vpcdatabase)

p1

While the tidyvpc package is very flexible and provides automatic plotting solutions, it gives the user full freedom to imagine and produce any type of graphical output that might better suite specific data/application. For example, I illustrate below how we can use a categorical binned x axis with proper ordering, labels and generate a plot from scratch:

Code
vpcdatabase$stats$bin <- reorder(vpcdatabase$stats$bin,
                                 vpcdatabase$stats$xbin)
ggplot(vpcdatabase$stats,aes(x=bin,y=md,group=qname))+
  geom_ribbon(aes(ymin=lo,ymax=hi,fill=qname),alpha=0.1,col=NA ) +
  geom_line(aes (fill=qname,col=qname)) +
  geom_line(data=vpcdatabase$stats,aes(x=bin,y=y,linetype="Obs"))+
    facet_wrap(~STUDID+ARM,
             scales="free",labeller = label_wrap_gen(multi_line=FALSE) ) +
  scale_colour_manual(name="Predictions Intervals\nMedian (lines)\n95% CI (areas)",
                      breaks=c("q0.05","q0.5","q0.95","Obs"),
                      values=c("red","blue","red","black"))+
  scale_fill_manual  (name="Predictions Intervals\nMedian (lines)\n95% CI (areas)",
                      breaks=c("q0.05","q0.5","q0.95","Obs"),
                      values=c("red","blue","red","black"))+
  scale_linetype_manual(name="Observed (lines)",
                        breaks=c("q0.05","q0.5","q0.95","Obs"),
                        values=c("solid","solid","solid","dashed")) +
  theme_bw()+
  theme(legend.position="right",axis.text.x = element_text(angle=40,
                                                           vjust=1,
                                                           hjust=1))+
  ylab("Obs/Simulated")+
  xlab("Days on Treatment (bins)")

As a perk, I show how we can bootstrap the observed data to compute confidence intervals around the observed percentiles and add it to the plot. This feature is not part of tidyvpc and is not often needed. But, it can be especially useful when we have low N of observed data and we want to show how “certain” the observed percentiles are:

Code
source("resample_df.R")
#from  https://metrumresearchgroup.github.io/PKPDmisc/reference/resample_df.html
#enable resampling with tratification and potentially multiple ID keys

predcorrectedobs <- vpcdatabase$obs
predcorrectedobs$ID <- vpcdatabase$data$ID
predcorrectedobs <- predcorrectedobs %>% 
  select(STUDID,ARM,ID,bin,x,y,ypc)

predcorrectedobs<- as.data.frame(predcorrectedobs)
NBOOT<- 20#small for blog do enough for real analysis
bootobservedPIall<- list()
for (i in (1:NBOOT) ) {
  bootdata <- resample_df(predcorrectedobs,key_cols=c("ID"),
                          strat_cols=c("STUDID","ARM")) %>% 
    as.data.frame()
  bootobservedPI <- bootdata %>% 
    group_by(STUDID,ARM,bin) %>% 
    summarize(y=quantile(ypc,probs=c(0.05,0.5,0.95), type=7),
              qname=c("q0.05","q0.5","q0.95"))
  bootobservedPI$replicate <- i  
  bootobservedPIall[[i]] <- bootobservedPI
}
bootobservedPIall<- data.table::rbindlist(bootobservedPIall)

bootobservedPIallPI <- bootobservedPIall %>% 
  group_by(STUDID,ARM,bin,qname) %>% 
  summarize(ybootci=quantile(y,probs=c(0.025,0.5,0.975), type=7),
            qci=c("lo","md","hi")) %>% 
  spread(qci,ybootci)


ggplot(vpcdatabase$stats,aes(x=bin,y=md,group=qname))+
  geom_ribbon(aes(ymin=lo,ymax=hi,fill=qname),alpha=0.1,col=NA ) +
  geom_line(aes(linetype=qname,col=qname,fill=qname)) +
  geom_line(data=bootobservedPIallPI,
            aes(linetype="Obs",col="Obs",fill="Obs"))+
  geom_ribbon(data=bootobservedPIallPI,aes(ymin=lo,ymax=hi,fill="Obs",
                                           group=qname),
              alpha=0.1,col=NA)+
  facet_wrap(~STUDID+ARM,
             scales="free",labeller = label_wrap_gen(multi_line=FALSE) ) +
  scale_colour_manual(name="Predictions Intervals\nMedian (lines)\n95% CI (areas)",
                      breaks=c("q0.05","q0.5","q0.95","Obs"),
                      values=c("red","blue","red","black"))+
  scale_fill_manual  (name="Predictions Intervals\nMedian (lines)\n95% CI (areas)",
                      breaks=c("q0.05","q0.5","q0.95","Obs"),
                      values=c("red","blue","red","black"))+
  scale_linetype_manual (name="Predictions Intervals\nMedian (lines)\n95% CI (areas)",
                        breaks=c("q0.05","q0.5","q0.95","Obs"),
                        values=c("solid","solid","solid","dashed")) +
  theme_bw()+
  theme(legend.position="right",axis.text.x = element_text(angle=40,
                                                           vjust=1,
                                                           hjust=1))+
  ylab("Obs/Simulated")+
  xlab("Days on Treatment (bins)")

If you want to see this feature built in in tidyvpc submit a github issue!

Now that we have shown the TTP model and its goodness of fit I will discuss the time to cure model that was linked to the AUC of TTP from time 0 to time 28 days. It had the following hazard function:

TTPAUC28  <- 332.3175 # computed dynamically from the TTP curve
hazard_fn_auc28 <- function(t){ exp(-11.8 -0.0270*t +   2.45*log(t+1) + 0.0353*((TTPAUC28-400)/10) ) }

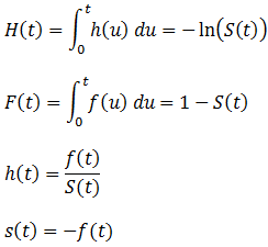
plot of the hazard:

Code
source("gompertz_helpers.R")

Ftauc28 <- apply_survival_function(seq(0,120,0.1), hazard_fn_auc28,supplied_fn_type="h", fn_type_to_apply="F")
Stauc28 <- apply_survival_function(seq(0,120,0.1), hazard_fn_auc28,supplied_fn_type="h", fn_type_to_apply="S")
htauc28 <- apply_survival_function(seq(0,120,0.1), hazard_fn_auc28,supplied_fn_type="h", fn_type_to_apply="h")
    
ggplot(data.frame(Time=seq(0,120,0.1),
                  F_t=Ftauc28,
                  S_t=Stauc28,
                  h_t=htauc28))+
  geom_line(aes(x=Time,y=h_t,linetype="h(t)"))+
  labs(y="h(t)",linetype="")+
  theme_bw()

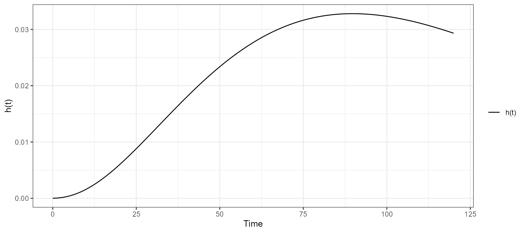
plot of the cumulative hazard and survival:

Code
ggplot(data.frame(Time=seq(0,120,0.1),
                  F_t=Ftauc28,
                  S_t=Stauc28,
                  h_t=htauc28))+
  geom_line(aes(x=Time,y=F_t,linetype="F(t)"))+
  geom_line(aes(x=Time,y=S_t,linetype="S(t)"))+
  labs(y="F(t) / S(t)",linetype="")+
  theme_bw()

Next I show the impact of TTP changes on all three:

Code
TTPAUC28  <- 400 # computed dynamically from the TTP curve
hazard_fn_auc28 <- function(t){ exp(-11.8 -0.0270*t +
                                      2.45*log(t+1) +
                                      0.0353*((TTPAUC28-400)/10) ) }

Ftauc28 <- apply_survival_function(seq(0,120,0.1),hazard_fn_auc28,
                                   supplied_fn_type="h",
                                   fn_type_to_apply="F")
Stauc28 <- apply_survival_function(seq(0,120,0.1), hazard_fn_auc28,
                                   supplied_fn_type="h",
                                   fn_type_to_apply="S")
htauc28 <- apply_survival_function(seq(0,120,0.1), hazard_fn_auc28,
                                   supplied_fn_type="h",
                                   fn_type_to_apply="h")

df1<- data.frame(Time=seq(0,120,0.1),
           F_t=Ftauc28,
           S_t=Stauc28,
           h_t=htauc28)
df1$AUC <- 400
TTPAUC28  <- 600 # computed dynamically from the TTP curve

Ftauc28 <- apply_survival_function(seq(0,120,0.1),hazard_fn_auc28,
                                   supplied_fn_type="h",
                                   fn_type_to_apply="F")
Stauc28 <- apply_survival_function(seq(0,120,0.1), hazard_fn_auc28,
                                   supplied_fn_type="h",
                                   fn_type_to_apply="S")
htauc28 <- apply_survival_function(seq(0,120,0.1), hazard_fn_auc28,
                                   supplied_fn_type="h",
                                   fn_type_to_apply="h")


df2<- data.frame(Time=seq(0,120,0.1),
                 F_t=Ftauc28,
                 S_t=Stauc28,
                 h_t=htauc28)
df2$AUC <- 600

TTPAUC28  <- 200 # computed dynamically from the TTP curve
Ftauc28 <- apply_survival_function(seq(0,120,0.1),hazard_fn_auc28,
                                   supplied_fn_type="h",
                                   fn_type_to_apply="F")
Stauc28 <- apply_survival_function(seq(0,120,0.1), hazard_fn_auc28,
                                   supplied_fn_type="h",
                                   fn_type_to_apply="S")
htauc28 <- apply_survival_function(seq(0,120,0.1), hazard_fn_auc28,
                                   supplied_fn_type="h",
                                   fn_type_to_apply="h")

df3<- data.frame(Time=seq(0,120,0.1),
                 F_t=Ftauc28,
                 S_t=Stauc28,
                 h_t=htauc28)
df3$AUC <- 200

dft<- rbind(df1,df2,df3)
dft$AUC<-as.factor(dft$AUC)
ggplot(dft %>% 
         gather(key,value,S_t,h_t,F_t,factor_key = TRUE))+
  geom_line(aes(x=Time,y=value,linetype=AUC))+
  labs(y="Survival Analysis Functions",
       linetype="TTP AUC",
       x="Time since Trial Start (days)")+
  theme_bw()+
  facet_wrap(~key,scales="free")+
  guides(linetype=guide_legend(reverse=TRUE))+
  scale_x_continuous(breaks=c(0,14,28,42,56,70,84,98,
                              98+14))

The translation from the hazard function was based on code from this page Graphing Survival and Hazard Functions. Based on any hazard function it uses numerical differentiation and integration to compute/use: Hazard, Event Density, Survival Event Density, Cumulative Hazard, Lifetime Density, and Survival Probability using standard statistical relationships:

The app included an interactive plotly to head to head compare two treatment regimens. The user could also play with sliders to generate existing or new potential regimens. Below I compare the RHZE to the MHZE, I show the TTP over time on top with the associated AUC0-28 and below it the cumulative/lifetime probability of the event F(t).

Code
alldata <- makegompertzModelCurve(TRT="RHZE",
                                  tvOffset = Thetatrt %>%
                                    filter(label=="RHZE") %>%
                                    pull(tvE0),
                                  tvAlpha = Thetatrt %>%
                                    filter(label=="RHZE") %>%
                                    pull(tvAlpha),
                                      tvBeta = Thetatrt %>%
                                    filter(label=="RHZE") %>%
                                    pull(tvBeta),
                                      tvGamma = Thetatrt %>%
                                    filter(label=="RHZE") %>%
                                    pull(tvGam))

alldata <- alldata %>%
  group_by(TRT) %>%
  mutate(
    TIMETTPFLAG = ifelse(Time >= TIMETTPMAX50, 1, 0) ,
    cumsumttpflag = cumsum(TIMETTPFLAG)
  )
pointsdata <- alldata %>%
  group_by(TRT) %>%
  filter(cumsumttpflag == 1)
pointsdata2 <- alldata %>%
  group_by(TRT) %>%
  filter(Time == TIMEEFFMAX50)
alldataauc<- alldata[alldata$Time<=28,]


alldataMRZE <- makegompertzModelCurve(TRT="MRZE",
                                      tvOffset = Thetatrt %>% filter(label=="MRZE") %>% pull(tvE0),
                                      tvAlpha = Thetatrt %>% filter(label=="MRZE") %>% pull(tvAlpha),
                                      tvBeta = Thetatrt %>% filter(label=="MRZE") %>% pull(tvBeta),
                                      tvGamma = Thetatrt %>% filter(label=="MRZE") %>% pull(tvGam))
alldataMRZE <- alldataMRZE %>%
  group_by(TRT) %>%
  mutate(
    TIMETTPFLAG = ifelse(Time >= TIMETTPMAX50, 1, 0) ,
    cumsumttpflag = cumsum(TIMETTPFLAG)
  )
pointsdataMRZE <- alldataMRZE %>%
  group_by(TRT) %>%
  filter(cumsumttpflag == 1)
pointsdata2MRZE <- alldataMRZE %>%
  group_by(TRT) %>%
  filter(Time == TIMEEFFMAX50)
alldataaucMRZE<- alldataMRZE[alldataMRZE$Time<=28,]

alldata<- rbind(alldata,alldataMRZE)
pointsdata<- rbind(pointsdata,pointsdataMRZE)
pointsdata2<- rbind(pointsdata2,pointsdata2MRZE)
alldataauc<- rbind(alldataauc,alldataaucMRZE)

library(plotly)

p <-
  plot_ly(
    alldata,
    x = ~ Time,
    y = ~ TTPPRED,
    type = 'scatter',
    mode = 'lines',
    name = 'TTP(t)',
    legendgroup = "TTP(t)",
    line = list(color = toRGB("black", alpha = 0.5), width = 5),
    linetype =  ~ TRT,
    color = I('black'),
    hoverinfo = 'text',
    text = ~ paste(
      "</br> Treatment: ",
      TRT,
      '</br> Time: ',
      round(Time, 1),
      '</br> TTP(t): ',
      round(TTPPRED, 1)
    )
  ) %>%
  add_ribbons(
    data = alldataauc,
    x =  ~ Time ,
    ymin = 0,
    ymax =  ~ TTPPRED,
    name = 'AUC28',
    legendgroup = "AUC<sub>28</sub>",
    fillcolor = ~ TRT ,
    line = list(color = 'blue'),
    linetype =  ~ TRT,
    opacity = 0.2,
    hoverinfo = 'none'
  ) %>%
  add_markers(
    data = pointsdata2 ,
    x = 0,
    y = ~ TTP0,
    type = 'scatter',
    mode = 'markers',
    marker  = list(
      color = toRGB("black", alpha = 0.7),
      size = 20,
      symbol = "circle"
    ),
    name = "TTP(0)",
    legendgroup = "TTP(0)",
    inherit = FALSE,
    hoverinfo = 'text',
    text = ~ paste("</br> Treatment: ", TRT,
                   '</br> TTP(0): ', round(TTP0, 1))
    
  ) %>%
  
  add_markers(
    data = pointsdata ,
    x =  ~ TIMETTPMAX50,
    y = ~ TTPMAX50,
    type = 'scatter',
    mode = 'markers',
    marker  = list(
      color = toRGB("black", alpha = 0.5),
      size = 20,
      symbol = "triangle-up"
    ),
    name = "TTP<sub>50</sub>",
    legendgroup = "TTP<sub>50</sub>",
    inherit = FALSE,
    hoverinfo = 'text',
    text = ~ paste(
      "</br> Treatment: ",
      TRT,
      '</br> Time to TTP<sub>50</sub>: ',
      round(TIMETTPMAX50, 1),
      '</br> TTP<sub>50</sub>: ',
      round(TTPMAX50, 1)
    )
    
  ) %>%
  
  add_markers(
    data = pointsdata2 ,
    x =  ~ TIMEEFFMAX50,
    y = ~ EEFFMAX50,
    type = 'scatter',
    mode = 'markers',
    marker  = list(
      color = toRGB("black", alpha = 0.3),
      size = 20,
      symbol = "diamond"
    ),
    name = "EFF<sub>50</sub>",
    legendgroup = "EFF<sub>50</sub>",
    inherit = FALSE,
    hoverinfo = 'text',
    text = ~ paste(
      "</br> Treatment: ",
      TRT,
      '</br> Time to EFF<sub>50</sub>: ',
      round(TIMEEFFMAX50, 1),
      '</br> EFF<sub>50</sub>: ',
      round(EEFFMAX50, 1)
    )
    
  ) %>%
  add_lines(
    data = alldata ,
    x = ~ Time,
    y = ~ TTPINF,
    type = 'scatter',
    mode = 'lines',
    name = 'TTP(\u221E)',
    line = list(color = toRGB("black", alpha = 0.5), width = 5),
    linetype =  ~ TRT,
    color = I('black'),
    legendgroup = "TTP(\u221E)",
    inherit = FALSE,
    hoverinfo = 'text',
    text = ~ paste("</br> Treatment: ", TRT,
                   '</br> TTP(\u221E) ', round(TTPINF, 1))
  ) %>%
  
  layout(
    xaxis = list(
      title = 'Days Post Start of Treatment',
      ticks = "outside",
      autotick = TRUE,
      ticklen = 5,
      range = c(-2, 121),
      gridcolor = toRGB("gray50"),
      showline = TRUE
    ) ,
    yaxis = list (
      title = 'TTP (t), Days'               ,
      ticks = "outside",
      autotick = TRUE,
      ticklen = 5,
      gridcolor = toRGB("gray50"),
      showline = TRUE)
    # ) ,
    # legend = list(
    #   orientation = 'h',
    #   xanchor = "center",
    #   y = -0.25,
    #   x = 0.5
    # )
  )
p2 <-
  plot_ly(
    alldata,
    x = ~ Time,
    y = ~ Ft,
    type = 'scatter',
    mode = 'lines',
    name = 'F(t)-AUC28',
    legendgroup = "F(t)-AUC28",
    line = list(color = toRGB("blue", alpha = 0.2), width = 5),
    linetype =  ~ TRT,
    color = I('black'),
    hoverinfo = 'text',
    text = ~ paste(
      "</br> Treatment: ",
      TRT,
      '</br> Time: ',
      round(Time, 1),
      '</br> F(t): ',
      round(Ft, 1)
    )
  ) %>%
  layout(
    xaxis = list(
      title = 'Days Post Start of Treatment',
      ticks = "outside",
      autotick = TRUE,
      ticklen = 5,
      range = c(-2, 121),
      gridcolor = toRGB("gray50"),
      showline = TRUE
    ) ,
    yaxis = list (
      title = 'F(t), Probability'               ,
      ticks = "outside",
      autotick = TRUE,
      ticklen = 5,
      gridcolor = toRGB("gray50"),
      showline = TRUE
    ) ,
    legend = list(
      orientation = 'h',
      xanchor = "center",
      y = -0.25,
      x = 0.5
    )
  )
subplot(p, p2,nrows = 2,shareX = TRUE,shareY = FALSE,titleX = TRUE,titleY = TRUE)

Finally the app, enabled “saving” user custom scenarios that could be later compared head to head and then output to a table and downloaded. It also included extensive documentation and how to guides. Below I include a screenshot showing how the user can start from a know regimen (RHZE) apply an effect (e.g. higher reatment effect on Beta) and head to head compare the Live Simulation to the reference (RHZE):